Featured in Dr. Rhonda Patrick's weekly newsletter

Browse archive

Added sugar consumption is a big problem, especially in the United States, where nearly three-fourths of adults get 10% of their daily calories from added and refined sugar—more than 70 grams per day. That’s more than three times the recommended amount.

 

We’re all aware of the usual offenders when it comes to sugar—diabetes, heart disease, and obesity risk all rise as sugar intake goes up. But excessive sugar intake has some other alarming consequences on our health. For example:

 

  • A higher consumption of sugary foods and beverages is associated with a 23% to 200% increase in cancer risk.
  • Testosterone levels plummet in men by 25% just 2 hours after consuming 75 grams of sugar.
  • High blood glucose levels—even when they fall within the normal range—are associated with brain atrophy (specifically in the hippocampus and amygdala).


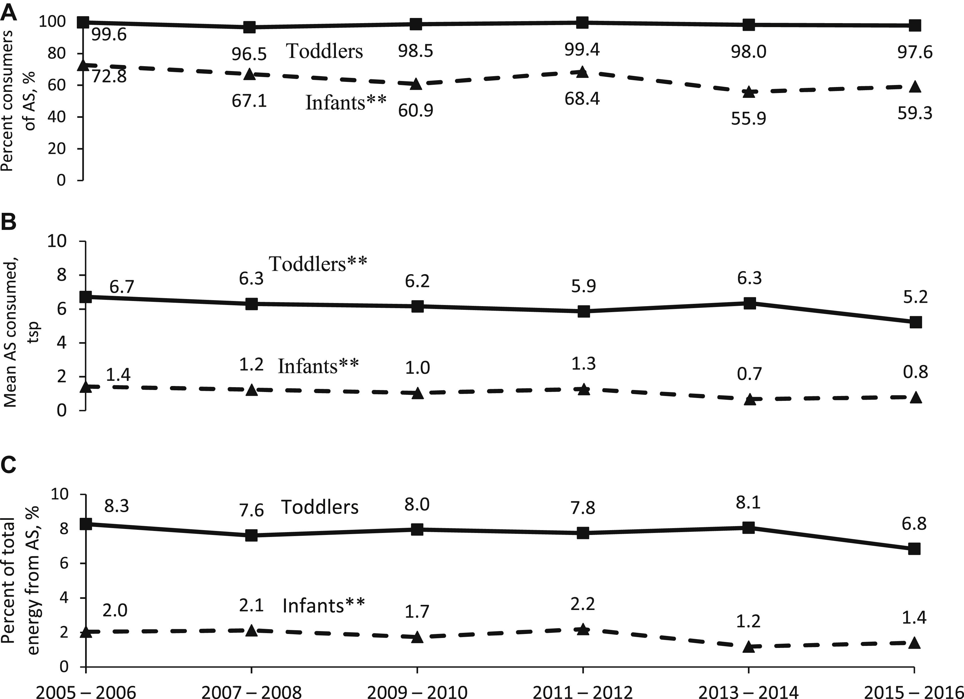
The story on sugar isn’t much better for children. Added sugar accounts for 1.6% and 7.7% of total daily calories for infants and toddlers, respectively—amounting to more than 1 tsp of added sugar per day for infants and 6 tsp per day for toddlers. This is in spite of the fact that the recommended intake of added sugar for children 2 and younger is zero.

Added Sugars Intake among US Infants and Toddlers - ScienceDirect

 

The implications of this are profound—early development is a period that is especially sensitive to nutrition. And as new evidence suggests, limiting sugar consumption during this crucial time could protect against future disease risk.
 

A recent study found that restricting sugar in the first 1,000 days of life (after conception and up to 2 years of age) reduced the lifetime risk of diabetes by 35%, the risk of hypertension by 20%, and the risk of obesity by 30%
 

Could the fix to our worldwide metabolic health crisis be as simple as limiting how much sugar children are exposed to at an early age? Let’s explore the study to find out.

You just missed this in your inbox

Every week, Dr. Rhonda Patrick and the FoundMyFitness team distill the latest research into clear, actionable insights on health, longevity, and performance, delivered free to your inbox.

Verifying email address...
Invalid email address. Please use a different email.

More early sugar is linked to health problems in adulthood

Researchers involved in the investigation leveraged a “natural experiment”—the sugar rationing that occurred in the United Kingdom in the 1950s. During this time, sugar allowances for adults were less than 40 grams per day and for children under 2, they were zero. In other words, sugar rationing brought sugar intake down to levels at or below those currently being recommended for pregnant women and children, giving us an idea of what would happen if everyone followed the guidelines. When rationing ended, sugar intake almost doubled, climbing from around 40 grams per day to around 80 grams per day near the end of 1954—a level close to what the average American consumes today.

 

The effects of early-life sugar exposure were investigated by looking at two groups: people who were conceived shortly before the sugar rationing ended (born between October 1951 and June 1954) and people who were conceived shortly after (born between July 1954 and March 1956). The children conceived before the rationing ended would have been exposed to less early-life sugar exposure—both in utero and after they were born—compared to those who were conceived after rationing ended.
 

Think of the rationed children as the low-sugar group and the unrationed children as the high-sugar group.

Compared to children who weren't exposed to sugar rationing, children exposed to sugar rationing early in life had a 35% lower risk of developing diabetes, a 20% lower risk of developing hypertension, and a 30% lower risk for obesity in adulthood.
 

As adults, those who were exposed to sugar rationing also developed disease at a later age—the onset of diabetes and hypertension occurred on average 4 years and 2 years later in this group, respectively.

 

A dose- and duration-dependent relationship

Here’s where things get interesting—the longer one was exposed to sugar restriction, the greater the protection against disease.
 

  • In utero sugar restriction reduced diabetes risk by 13% and hypertension risk by 8%—about one-third of the protective effects of sugar restriction were simply due to less in utero exposure to sugar.
  • Sugar restriction in utero and during the first year of life reduced diabetes risk by 25% and hypertension risk by by 15%.
  • Sugar restriction in utero and during their first two years of life reduced diabetes risk by 36% and hypertension risk by 19%.

 

A similar finding was observed for the delay in the onset of disease—longer exposure to sugar restriction led to an older age of onset for diabetes and hypertension.

What this means is that mothers who consume less sugar during pregnancy are probably imparting health benefits to their offspring, regardless of the child’s sugar exposure after they’re born. That’s an important finding.
 

But equally if not more important is that a majority of the benefit came from lower sugar intake postnatally. The children born before the sugar rationing ended experienced a profound reduction in their chronic disease risk, probably because they ate less sugar at this age. And the further they were born from the end of the ration, the lower their risk for disease was.
 

This prompts us to ask the question: How does early-life nutrition influence future disease risk?
 

Chronic disease begins in the womb

Environmental conditions during pregnancy and in the early stages of postnatal development can influence not only how babies develop, but also their health in childhood and adulthood—this is known as the developmental origins hypothesis.
 

The first 1,000 days of life appear to be a particularly sensitive period of development, during which nutritional exposures can impart effects that either help or hurt the health of a child.
 

Epigenetic mechanisms play a crucial role in mediating these effects, whereby environmental factors cause stable, long-term changes in gene expression that program disease susceptibility. These changes may not be reversible even if we adopt healthy behaviors later on in life! Developmental changes can also occur through the transmission of information (about nutritional status, etc.) from the mother to the fetus through the placenta or to the infant through breast milk.

 

Maternal undernutrition can lead to low birth weight and impair fetal development, which are associated with high blood pressure, high blood sugar, and high cholesterol levels in adulthood. A smaller size at birth has been linked to an elevated risk of heart disease, diabetes, obesity, and metabolic syndrome later in life
 

But overnutrition can also cause developmental changes.
 

Mothers who consume more sugar during pregnancy give birth to children with a higher BMI, more body fat, and a larger birth weight. Maternal hyperglycemia (high blood sugar) elevates insulin levels in the fetus, increases fat deposition, and predisposes children to sweet tastes, a dysregulated appetite, and impaired glucose regulation via the so-called "secondhand sugar effect." Their higher risk for metabolic disease is present before they even enter the world, and once they are born, a high-sugar diet during childhood only worsens the issue. Many of these effects could explain why sugar restriction early in life appeared to impart benefits for metabolic and cardiovascular diseases in the study discussed today.

Gluckman PD, et al. Effect of in utero and early-life conditions on adult health and disease. N Engl J Med. 2008.
 

Final thoughts

Even though this was an observational or quasi-experimental study, certain aspects give it the appearance of being a well-controlled nutrition study. Most important was isolating sugar as one of the only variables that was different between “rationed” and “unrationed” children. 
 

The consumption of fat, protein, fruits and vegetables, and even total calories stayed the same before and after rationing ended—-only sugar consumption experienced the meteoric rise.This means that independent of calories, more sugar in early life raises the risk of diabetes and high blood pressure.
 

I really take these findings to heart. I spent many months researching and learning about the myriad factors that would influence my child’s development and it’s something I continue to do today. While I don’t recommend following an overly restrictive diet during pregnancy—especially one that avoids healthy but high-glycemic index foods like fruit—avoiding refined sugars, candies, cookies, and cakes is probably advisable. Limiting the intake of natural sugars from fruit only makes sense for someone who might be experimenting with the ketogenic diet—not pregnant women.
 

When it comes to feeding young children, I also think avoiding refined sugars is a sound recommendation, especially if they're younger than 2. Rather, I’m a fan of incorporating the natural sweetness of fruits into their diet for as long as possible. This is just one way to set them up for the healthiest future possible.

 

If you're interested in learning more about supporting reproductive health and a healthy early childhood, be sure to check out Aliquot #100 (linked below), where I explore nutrition, supplements, and other lifestyle habits that can shape the health of you and your children.

Listen to Aliquot #100 and Access the Summary Now!

Relevant timestamps:

 

  • 00:01:07 - Understanding the impact of caffeine, antioxidants, and B-vitamins on fertility
  • 00:06:30 - What to do before reproducing – exercise, diet, and targeted supplements
  • 00:13:00 - How to improve sperm quality
  • 00:21:28 - Strategies for healthy fetal development after 40
  • 00:25:22 - Navigating supplement use during pregnancy – essentials and exclusions
  • 00:29:05 - Choosing the right DHA supplements for breastfeeding
  • 00:31:53 - Is it safe to follow a ketogenic diet during breastfeeding?
  • 00:32:53 - How soon did Rhonda return to the sauna after pregnancy?
  • 00:33:34 - How vitamin D and probiotics impact a child's health
  • 00:36:30 - Introducing solid foods – when and how to start?
  • 00:40:22 - Ensuring adequate DHA (omega 3) intake for infants
  • 00:47:20 - Insights into sleep training and managing screen time
  • 00:50:55 - Encouraging healthy eating habits
­

With appreciation,


Rhonda and the FMF Team

Get the next issue in your inbox.

Free weekly health, longevity, and performance insights from Dr. Rhonda Patrick.

STAY IN THE LOOP

Get Dr. Rhonda Patrick's free weekly newsletter.

Every week, Dr. Rhonda Patrick and the FoundMyFitness team distill the latest research into clear, actionable insights on health, longevity, and performance, delivered free to your inbox.

Verifying email address...
Invalid email address. Please use a different email.