Featured in Dr. Rhonda Patrick's weekly newsletter

Browse archive

If you had an extra helping of (dark) chocolate over the holidays, I have good news—you may have helped make yourself younger.


In a new study, people with higher blood levels of theobromine (a cocoa-derived alkaloid) showed signs of slower biological aging—they were about 1.1–1.6 epigenetic years younger than peers of the same chronological age.


Across two independent cohorts, there was also a more favorable signal on a methylation-based telomere length estimator among those with higher theobromine levels, indicative of longer telomeres.


These data are observational, but they're an intriguing clue that bioactive compounds in cocoa may be doing something worth paying attention to.


Is theobromine compelling enough to be considered an anti-aging molecule? And do these results support a prescription to "eat more chocolate?" That's what today's newsletter is about.

You just missed this in your inbox

Every week, Dr. Rhonda Patrick and the FoundMyFitness team distill the latest research into clear, actionable insights on health, longevity, and performance, delivered free to your inbox.

Verifying email address...
Invalid email address. Please use a different email.

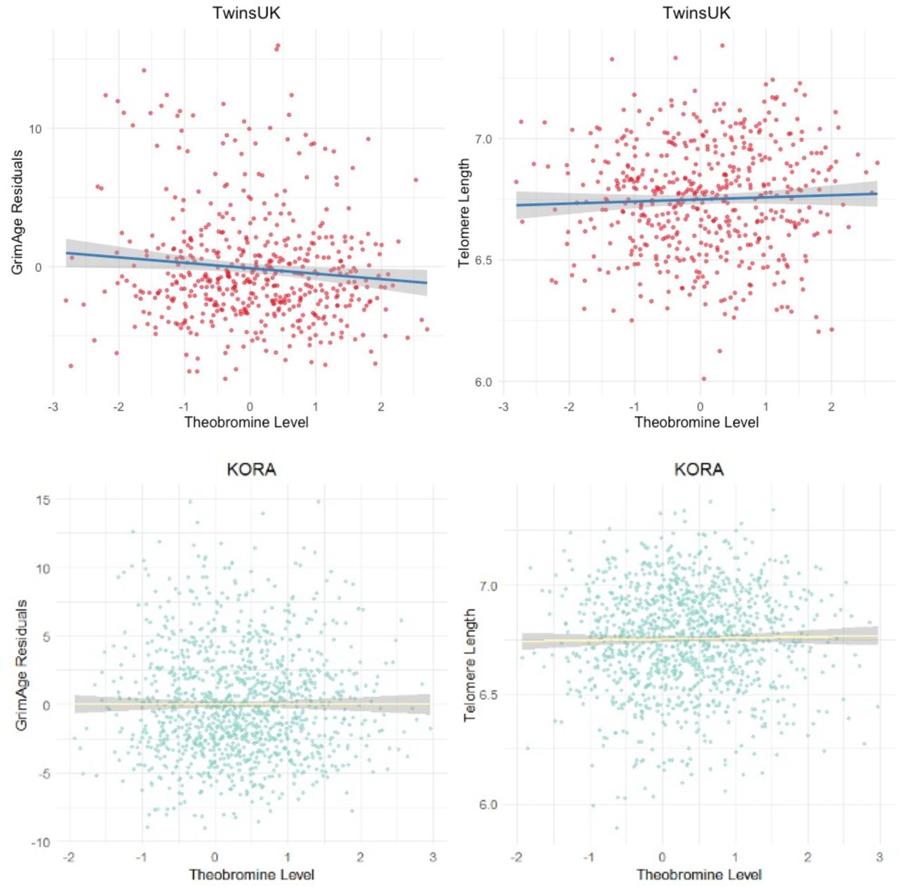
Theobromine levels track with a younger epigenetic age

To test whether circulating theobromine—a cocoa-associated methylxanthine—is associated with measures of biological aging—researchers conducted a cross-sectional study in two independent cohorts: a discovery cohort (TwinsUK, comprising 509 female monozygotic and dizygotic twins with a median age of 60) and a replication cohort (KORA, a German population-based study comprising 1,160 adults, also with a median age of 60).


In both cohorts, targeted metabolomics was used to test six metabolites that are associated with coffee, cocoa, and tea exposure: the methylxanthines caffeine, theophylline, theobromine, paraxanthine, and 7-methylxanthine; and theanine (an amino acid found in tea). 


Biological aging was assessed using age acceleration (GrimAge acceleration—computed as one's epigenetic age adjusted for chronological age) and a DNA methylation-based estimator of telomere length. Importantly, these two outputs are weakly correlated with one another, consistent with the idea that telomere biology and epigenetic clocks capture partly distinct dimensions of the aging process. This study measured not one, but two well-established "aging clocks."


After screening the six cocoa/coffee/tea-associated metabolites in the discovery cohort, theobromine stood out. Participants with higher blood levels of theobromine were aging slower (from an epigenetic perspective) than those with lower levels. Specifically, for every 1 standard deviation increase in theobromine levels, participants were 1.6 epigenetic years younger. Higher theobromine levels were also associated with a more favorable DNA methylation-based estimate of telomere length.


These findings were confirmed in the 1,160 participants from the replication cohort—each 1 standard deviation increase in theobromine levels was associated with being 1.1 epigenetic years younger and having a longer estimated telomere length.


Interestingly, when participants were stratified by smoking status, the association between theobromine and aging clocks was strongest in prior and current smokers, who were nearly 2.7 epigenetic years younger per 1 standard deviation increase in theobromine levels. It's hard to explain this finding, but two hypotheses are suggested. The first is that nicotine may alter the metabolism and clearance of theobromine. The second is that the association is simply more pronounced in smokers due to their suboptimal health profile or higher baseline rate of epigenetic aging.

Associations between theobromine levels, GrimAge acceleration, and estimated telomere length in the discovery (TwinsUK) and replication (KORA) cohorts.

Is it cocoa or coffee?

Given that theobromine and other alkaloids are found in both coffee and cocoa, it's natural to ask whether the higher blood theobromine levels in these participants might reflect a higher coffee rather than chocolate consumption. The researchers took steps to iron this out by showing correlation patterns among the methylxanthines that were consistent with their expected sources:


  • Caffeine and theophylline (both present in high amounts in coffee) were strongly correlated, as were theobromine and 7-methylxanthine (both cocoa-associated metabolites). 

  • Caffeine and theobromine showed only moderate overlap.

  • On self-reported intake in the TwinsUK cohort, theobromine levels were related to chocolate intake (though weakly).


What this tells us is that circulating levels of theobromine in these studies is likely to reflect participant's chocolate or cocoa consumption rather than their coffee intake. The authors also argue that, given their rigorously adjusted models, their results support theobromine's association being not simply explained by caffeine or other methylxanthines.


But they also flag a key possible confounder: cocoa polyphenols.


Theobromine levels may reflect participants' intake of cocoa polyphenols (i.e., flavan-3-ol) that were not measured in the metabolomics panel. That's certainly a possibility. Furthermore, because methylxanthines have been shown to enhance the beneficial cardiovascular effects of cocoa flavanols, theobromine could thus be a causal actor, a synergist, or a biomarker reflective of cocoa intake patterns.


So, while these results are genuinely interesting and point to a biological mechanism by which cocoa and its metabolites influence biological aging, they still show association, not causation.


However, I have reason to believe that cocoa consumption can shift health outcomes and aging measures in a meaningful way.

Correlations between the measured methylxanthines and their biological structures.

For more on cocoa, check out our Cocoa Flavonoids (Chocolate) topic page, where you'll find information on how cocoa supplementation affects cardiovascular health, cognition, and whether you should be concerned about heavy metal contamination.

Cocoa consumption improves aging

If we want an answer to the question "Is consuming cocoa beneficial?", we need look no further than the suite of studies collectively known as COSMOS (COcoa Supplement and Multivitamin Outcomes Study)—a large, randomized, placebo-controlled trial in more than 21,000 older U.S. adults that tested a cocoa extract supplement (providing around 500 mg/day of cocoa flavanols) versus a daily multivitamin-mineral supplement for long-term prevention outcomes.


The headline finding from COSMOS was a 27% reduction in cardiovascular disease deaths over a nearly 4-year follow-up period (versus placebo) among participants supplemented with cocoa extract.[1]


But let's get to an outcome we're most interested in for today: aging. Among ~600 older adult participants in a COSMOS ancillary study, cocoa supplementation reduced C-reactive protein by 8.4% per year compared to placebo. This was a mechanistic biomarker study, but it aligns with an "anti-aging" framework—lower chronic inflammation is one of the most consistent biological signals linked to healthier aging trajectories.[2]


Although we currently don't have any epigenetic clock outcomes from COSMOS, they appear to be in progress…so stay tuned. 


Luckily, there's other evidence from smaller trials that cocoa supplementation has numerous benefits, even if not on epigenetic age per se. (If you're interested in learning more, you can read about cocoa's benefits, including dozens of studies on cocoa supplementation, on our Cocoa Flavonoids topic page). Here are a few of my favorite studies we've covered:


  • Older adults who supplemented with cocoa experienced a nearly 10 percent gain in peak oxygen consumption, a marker of cardiorespiratory fitness, during exercise.

  • Flavonoid-rich cocoa supplementation reduced blood pressure and markers of arterial stiffness in people with high blood pressure.

  • Cocoa consumption protected vascular function during mental stress.

  • A review of randomized controlled trials found that people had enhancements in working memory performance and improved visual information processing after eating cocoa flavanols.

  • Dark chocolate consumption increased neuroplasticity, improved memory and mood, and reduced stress and inflammation.

Final thoughts

This week's study is a fun one because it sits right at the intersection of nutrition biomarkers and biological aging biomarkers. And while the effect sizes catch my eye, it's observational—a responsible interpretation here is that theobromine is a marker that tracks with a younger methylation profile, not proof that it causes slower aging or is a "longevity molecule."


Where I think this really gets interesting is when you put it next to the larger cocoa flavanol literature—especially the COSMOS studies discussed earlier (for reference, the participants in that study were consuming ~50 mg/day of theobromine from their cocoa supplement). I love this kind of triangulation: a human biomarker signal (theobromine and lower epigenetic age) sitting alongside randomized controlled trial evidence that cocoa flavanols can move inflammation-related biology in a favorable direction.


In terms of a practical "what I'd do with this," I'm not a huge fan of giving chocolate a health halo, especially because added sugar and calories can erase a lot of the theoretical benefits. I'm also concerned about potential contamination of many dark chocolate brands with heavy metal, including cadmium and lead (for more on the potential risks of dark chocolate, check out episode #64 of the Aliquot).


That's why—if someone wants cocoa as a targeted intervention—I generally prefer a standardized cocoa flavanol extract like CocoaVia (so you know what dose you're actually getting) or a high-cacao, low-sugar chocolate that's been tested for heavy metals.


Finally, epigenetic clocks are useful signals, but they're still surrogate endpoints, and the longevity fundamentals remain boring and powerful: exercise, sleep, cardiometabolic health, micronutrient sufficiency, and minimizing exposure to microplastics and other toxins. I see cocoa flavanols/theobromine as a smaller level within this bigger system.


It's interesting to watch closely and probably worth experimenting with… especially because chocolate is so tasty.

Consider Supporting as a FoundMyFitness Premium Member

 

Premium members get exclusive access to live AMA sessions and the full-length recordings once they're released, plus exclusive access to all episodes of The Aliquot. I talked at length about dark chocolate/cocoa in member Q&A session #34. Here's a list of the relevant time stamps from that episode:


  • 6:13 - Do the benefits of dark chocolate outweigh the risks?
  • 10:48 - Is the saturated fat content in dark chocolate a concern?
  • 13:52 -  Is it safe to consume dark chocolate while pregnant or breastfeeding?
  • 14:36 - Is heavy metal  exposure from chocolate a problem?
  • 53:28 - Why does Rhonda take CocoaVia and what are its benefits?


Want to join my next AMA session on January 3rd (just 8 days away)? Become a Premium Member today. You'll also get access to our back catalog of 60+ Q&A episodes.

 

As a Premium Member, you'll also gain access to:

 

  • The Aliquot: A private podcast offering concentrated, in-depth episodes. With membership, you'll unlock over 100 episodes.
  • Science Digest: A biweekly newsletter featuring the latest studies and my personal insights.
  • Members' Library & Presentation Slides: Our episode slides, available exclusively for Premium Members.
  • FoundMyFitness Exclusive T-Shirt: Show off your support with a free t-shirt!
  • Free Genetic Reports: Access the Comprehensive and Basic Genetic Reports, and get lifetime updates with your subscription.
  • Detailed Show Notes: Exceptionally thorough show notes for each episode, including studies discussed, graphs, key takeaways, and more!

 

As a Premium Member, you not only unlock exclusive content but also contribute to maintaining the free resources provided by our public podcast. Join today for as little as $15/month by clicking the button below.

Become a Premium Member today!

Warm regards

 

— Rhonda and the FoundMyFitness team

Get the next issue in your inbox.

Free weekly health, longevity, and performance insights from Dr. Rhonda Patrick.

STAY IN THE LOOP

Get Dr. Rhonda Patrick's free weekly newsletter.

Every week, Dr. Rhonda Patrick and the FoundMyFitness team distill the latest research into clear, actionable insights on health, longevity, and performance, delivered free to your inbox.

Verifying email address...
Invalid email address. Please use a different email.