Featured in Dr. Rhonda Patrick's weekly newsletter

Browse archive

Weight loss is mainly calories in and calories out—the laws of thermodynamics can’t be broken.
 

But this doesn’t make the challenge of losing weight and maintaining weight loss any easier, and that’s because there’s so much involved in the “calories in” and the “calories out” sides of the equation! People aren’t simple calorie-counting machines.
 

The complexity of energy balance is why most weight-loss interventions fail. Whether people lose weight by targeting energy intake, diet quality, and physical activity or via weight-loss drugs like Ozempic, weight regain is a frequent occurrence. 
 

One reason for weight regain is that people often eventually revert to their old habits.
 

Another reason, recently-discovered, could be that our fat cells have an epigenetic memory that defends against changes in body weight and promotes weight regain in an obesogenic, food-abundant environment. In other words—someone who was once overweight or obese will is more susceptible to weight regain.
 

All of this means that if we want to lose weight and keep it off, we need to make an impactful but sustainable dietary change. According to a new study, this change might be as simple as eating more protein and fiber.
 

Participants who consumed a diet higher in protein and fiber lost significantly more weight over 12 months compared to those with lower intake of these nutrients. Losing weight didn’t require calorie counting, frequent weigh-ins, or obsessive food logging—just a focus on eating protein- and fiber-rich foods.

 

You just missed this in your inbox

Every week, Dr. Rhonda Patrick and the FoundMyFitness team distill the latest research into clear, actionable insights on health, longevity, and performance, delivered free to your inbox.

Verifying email address...
Invalid email address. Please use a different email.

Protein and fiber promote satiety

Fiber promotes the growth of healthy gut bacteria, improves bowel regularity, regulates blood sugar control, and reduces cholesterol. Consuming fiber-rich foods like vegetables, fruits, nuts, seeds, and even whole grains is linked to a lower risk of all-cause mortality and several chronic diseases.
 

But fiber can also help with weight loss by promoting satiety and reducing hunger after meals.
 

The same is true for protein. Compared to carbohydrates and fat, protein increases satiety (helps you feel fuller for longer).

Dietary proteins influence satiety by releasing peptides and amino acids that interact with receptors in our gut to control appetite. Source: Ignot-Gutiérrez A, et al. Nutrients. 2024


Protein also has two unique advantages when it comes to weight loss:
 

  • Thermogenesis: A high-protein diet promotes an increase in body temperature and energy expenditure because it takes more energy to digest protein than it does fat or carbohydrate. This means we get fewer usable calories from protein (around 3 calories per gram) than we do from carbohydrates (around 4 calories per gram) or fat (around 9 calories per gram). This might not seem significant, but the calories add up over time and when you consider that most people consume hundreds of grams of each of these nutrients per day.
  • Lean mass maintenance: Higher-protein diets help to preserve lean body mass and muscle mass during weight loss. They might also help enhance fat loss, with some studies suggesting that high-protein diets cause almost twice as much fat loss as moderate-protein diets.
     

The anabolic and metabolic advantages of protein and fiber make these nutrients novel tools for weight management. But combined, they haven’t been the focus of many weight loss interventions. Until now.

Two nutrients, one weight loss plan

In an effort to find an effective yet sustainable dietary weight-loss strategy, the researchers involved in the new study—part of the Individualized Diet Improvement Program or iDip, developed an intervention that taught participants to choose healthy foods based on their nutrient content with a particular emphasis on protein and fiber.
 

The goal was simple: maximize protein and fiber and minimize calories. In other words—increase the protein and fiber density of the diet!
 

The participants achieved this goal by aiming for a protein and fiber density benchmark: 7–11 grams of protein per 100 calories of food and 1.8–3.2 grams of fiber per 100 calories of food—this was the target for weight loss.
 

The goals for weight maintenance (the participants were followed up for additional time after the intervention) were 4–8 grams of protein per 100 calories and 1.4–2.8 grams of fiber per 100 calories.
 

Let’s put this into perspective for someone eating 2,000 calories per day:

 

  • For weight loss: 140–210 grams per day and a fiber intake of 36–71 grams per day.
  • For weight maintenance: 80–160 grams of protein per day and 28–56 grams of fiber per day.
     

Here’s the important part: The participants did not count their calories—they just monitored protein and fiber intake by emphasizing foods and meals that optimized nutrient density. They did this with the help of a simple protein-fiber plot that showed them which foods were compatible (and which foods weren’t) with a protein- and fiber-dense diet.

The protein-fiber plot used by participants in the study to construct nutrient-dense meals. Green dots indicate protein- and fiber-dense foods while yellow and red dots indicate foods lower in protein and fiber. The participants aimed for a meal total that fell in the green box (for weight loss) or blue box(for weight maintenance).

 

Protein and fiber promote weight loss

The participants (30 total; 19 women and 11 men) lost an average of 6.5% of their initial body weight—nearly 7 kilograms or 15 pounds—over the course of the study.
 

But not all participants achieved “successful” weight loss which was defined as weight loss of 5% or more (this level of weight loss has been associated with beneficial improvements in cardiometabolic risk).
 

Only 8 participants lost 5% or more of their initial weight, and among them, 4 lost more than 10% of their initial weight and 2 of them even achieved a normal BMI (less than 25). The average weight loss among the “successful” dieters was nearly 13%! The other 13 participants—classified as “unsuccessful” dieters—only achieved a 2% weight loss during the study.


Nearly 80% of the weight loss was fat mass rather than lean body mass—the overall body weight reduction at the 15-month follow-up time point was 8.4 kilograms but only 1.3 kilograms of weight loss came from skeletal muscle mass. Muscle mass was preserved in the successful and unsuccessful dieters alike. This was likely a result of their focus on a high protein intake.

The participants achieved their weight loss by successfully increasing their protein and fiber intake and decreasing their energy intake.
 

Dietary protein density increased to nearly 6 grams per 100 calories, while fiber intake increased to nearly 2 grams per 100 calories. Energy intake, on the other hand, dropped from around 2,200 calories at baseline to around 1,500 calories at the end of the study.
 

If we do the math, this means that protein intake averaged 90 grams per day, while fiber averaged around 30 grams per day based on the caloric intake and the dietary nutrient density.

 

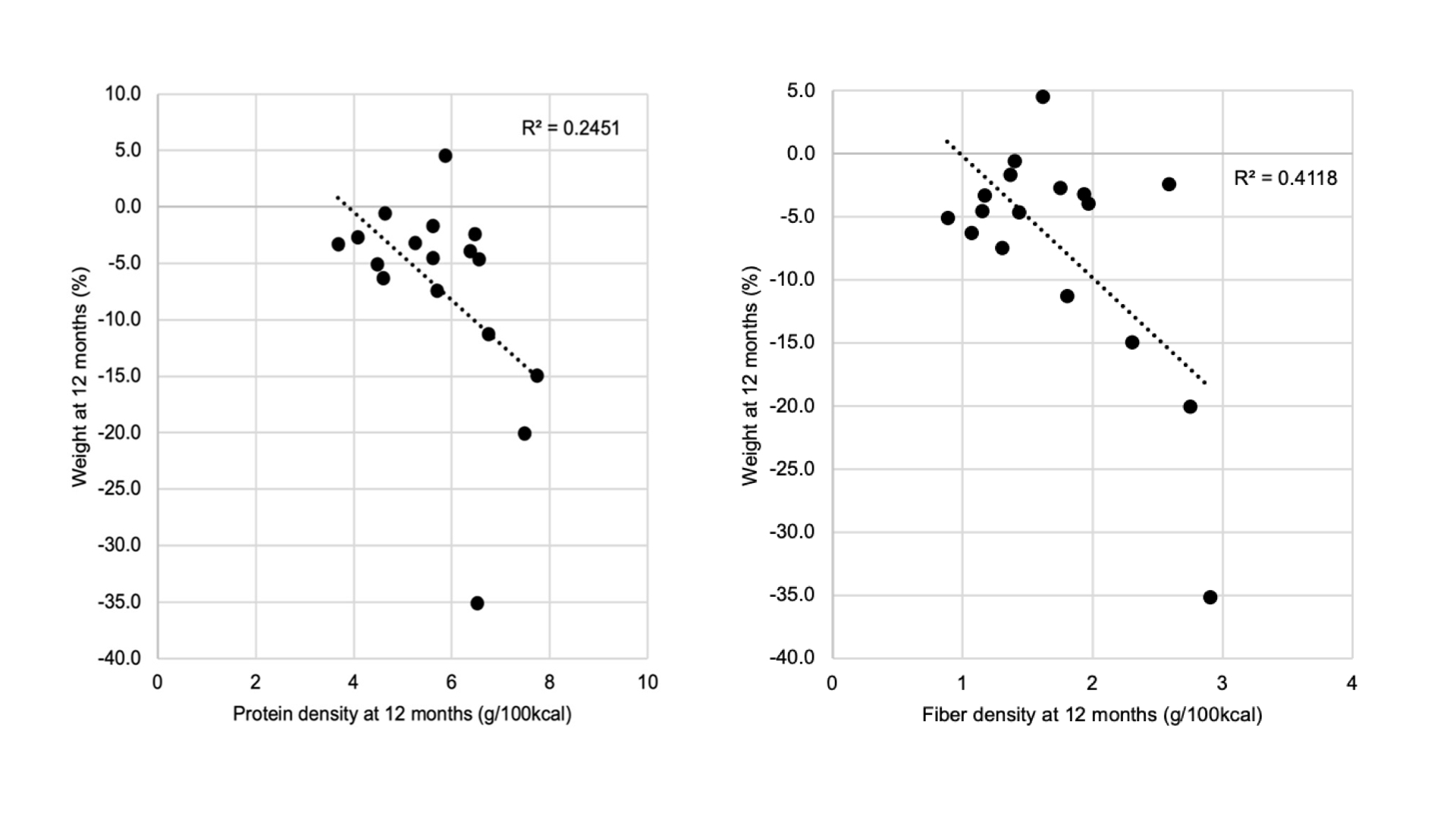
Protein and fiber density predict successful weight loss

The participants who achieved the highest dietary protein and fiber density during the study experienced the greatest amount of weight loss. And the closer they were to achieving the weight loss goal of 7 grams of protein and 1.8 grams of fiber per 100 calories, the more weight they lost. The sum of their protein and fiber density was as important as their individual protein and fiber density scores.


In other words, a meal that somewhat lacks fiber can compensate by being high in protein, and vice versa. Ideally, however, a meal optimized for nutrient density would comprise protein- and fiber-dense foods.

Diets with more protein density (left) and fiber density (right) lead to more weight loss.

 

Final thoughts

What can we learn from this study about weight loss and diet quality in general? 
 

For one, it doesn’t need to be complicated and doesn’t require obsessive weighing or calorie counting. In fact, there was no association between how frequently the participants weighed themselves and how much weight they lost! The scale is a helpful tool for weight loss, but using it doesn’t mean you’ll be successful.
 

Rather, small but sustainable dietary changes appear to be the most impactful—this can be as simple as focusing on key dietary nutrients like protein and fiber.
 

Based on this study, it seems practical to target a daily protein intake of at least 7 grams per 100 calories and a fiber intake of at least 2 grams per 100 calories.
 

Making meals that comprise protein- and fiber-dense foods will keep you fuller for longer, which is one of the most important aspects of trying to limit your daily calorie intake. Nobody wants to be hungry all the time. We all can think of at least a few protein-dense foods: egg whites, chicken breast, Greek yogurt, lean beef and pork, and low-fat cottage cheese, for example. Fiber-dense foods include chickpeas and other beans/legumes, cruciferous vegetables like broccoli and Brussels sprouts, oats, sweet potatoes, and whole grains. Make these staples of your diet and try to include a combination of them at each meal.
 

If you focus on eating whole foods, maximizing your protein and fiber intake won’t be a problem. Processed foods are inherently low in protein and fiber, which makes them not only nutritionally poor, but also easy to overeat—they don’t fill us up or keep us satisfied. If it comes in a package, chances are it’s neither protein- nor fiber-dense (and is probably full of harmful microplastics, too!)
 

I think that even if you aren’t trying to lose weight, focusing on protein and fiber is a foolproof health strategy, given their immense benefits that range from muscle to bone to gut health and everything in between. Weight loss is just one potential benefit.
 

My advice? Take a month or two to focus on eating more protein and fiber. Even without knowing it, you may slightly decrease your calorie consumption. At the very least, you’ll feel fuller and more satisfied with your diet, but you’ll likely improve your overall dietary quality too!

 

Craving more content on protein and weight loss? We've hand-picked a few member Q&A episodes so you can dive deep into the science.

Q&A #50 with Dr. Rhonda Patrick (8/5/23)

  • 00:14:44 - Should protein intake be adjusted on exercise versus rest days?
  • 00:16:38 - Does spreading our protein intake increase muscle protein synthesis?
  • 00:18:36 - The protein bar that helps Rhonda meet protein requirements
  • 00:21:39 - Which ingredients in processed foods harm our health the most?
  • 00:36:09 - Why you shouldn't do OMAD unless you're obese or extremely overweight
­

Q&A #38 with Dr. Rhonda Patrick (8/6/22)

  • 00:04:41 - How to reconcile conflicting protein intake advice from scientists
  • 00:23:15 - Do mTOR pathways that stimulate muscle growth also promote cancer growth?
  • 00:30:46 - Do vegetarian protein sources have enough leucine to stimulate muscle protein synthesis?
  • 00:33:00 - Which high-leucine protein powder does Rhonda use?
  • 01:16:03 - Which creatine supplements are best for maintaining muscle function in older adults?
­

With appreciation,


Rhonda and the FMF Team

Get the next issue in your inbox.

Free weekly health, longevity, and performance insights from Dr. Rhonda Patrick.

STAY IN THE LOOP

Get Dr. Rhonda Patrick's free weekly newsletter.

Every week, Dr. Rhonda Patrick and the FoundMyFitness team distill the latest research into clear, actionable insights on health, longevity, and performance, delivered free to your inbox.

Verifying email address...
Invalid email address. Please use a different email.