Featured in Dr. Rhonda Patrick's weekly newsletter

Browse archive

One of the hallmarks of aging is a state of persistent, low-grade inflammation—what researchers call inflammaging. It’s strongly linked to higher risk of cardiovascular disease, disability, and premature mortality. 


Exercise is perhaps the best way to quell inflammaging. Both aerobic and resistance training significantly lower inflammatory markers, and lifelong exercise is associated with a more anti-inflammatory profile, though it may not fully reverse all age-related changes.


A relevant question is: can nutrition help blunt this process?


A recent study from the large COSMOS trial put this to the test, looking at whether cocoa extract could shift key inflammatory biomarkers over two years in older adults. The results might have you reaching for a second piece of dark chocolate.

­

The study enrolled 598 adults with an average age of 70, about half of whom were women and all of whom were free of cardiovascular disease or invasive cancer at baseline.


Participants were randomized to receive either two daily capsules of cocoa extract (500 mg total flavanols, including 80 mg (-)-epicatechin) or placebo for two years (the study also investigated multivitamin supplementation as a third study arm, results of which I've discussed previously).


Researchers measured serum biomarkers of inflammaging at baseline, one year, and two years, focusing on:


  • High-sensitivity C-reactive protein (hsCRP), interleukin-6 (IL-6), and tumor necrosis factor alpha (TNF-α; pro-inflammatory markers)

  • IL-10 (an anti-inflammatory cytokine)

  • Interferon gamma (IFN-γ; a pleiotropic cytokine with both pro- and anti-inflammatory roles).


(Be sure to check out our Cocoa Flavonoids topic page for more on the health benefits of cocoa!)


You just missed this in your inbox

Every week, Dr. Rhonda Patrick and the FoundMyFitness team distill the latest research into clear, actionable insights on health, longevity, and performance, delivered free to your inbox.

Verifying email address...
Invalid email address. Please use a different email.

Cocoa Flavanols Slow Biomarkers of 'Inflammaging'

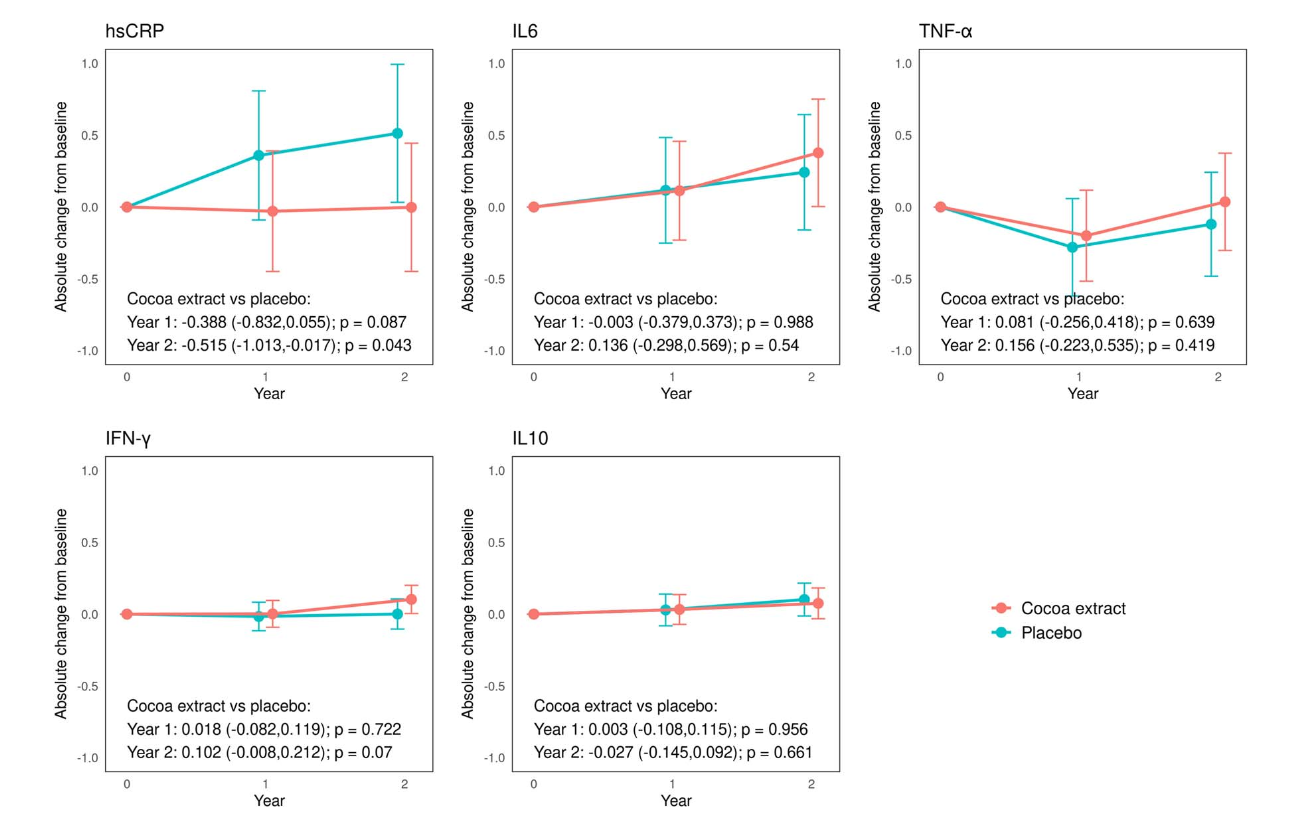
Cocoa extract significantly slowed the age-related rise in hsCrP.

In the placebo group, hsCRP increased by 5.5% per year, while in the cocoa group, hsCRP decreased by 3.3% per year. Although this decrease alone was not statistically significant, the between-group difference was, amounting to an 8.4% yearly change. 


Over two years, the absolute change in hsCRP was +0.51 mg/L in the placebo group versus -0.002 mg/L in the cocoa group, a difference of -0.515 mg/L. Importantly, the hsCRP-lowering effect was strongest in individuals with higher baseline inflammation. Among participants with hsCRP levels ≥10 mg/L, cocoa supplementation led to a remarkable 37.9% yearly reduction compared to placebo. Those with lower baseline hsCRP saw smaller but still meaningful reductions of about 5–6%.

­

Cocoa supplementation also led to a significant increase in IFN-γ. While the placebo group experienced a yearly decrease of 2.7%, the cocoa group saw a 3.9% increase, for a between-group difference of 6.8%. The interpretation here is less clear: IFN-γ has complex, context-dependent effects, sometimes driving inflammation and other times regulating immune responses. The modest increase seen in this trial warrants further study to understand its long-term biological significance.


For the other biomarkers—IL-6, IL-10, and TNF-α—there were no statistically significant changes overall, but exploratory subgroup analyses revealed some interesting patterns. Among women, cocoa supplementation was associated with a 5.8% yearly decrease in IL-6, while in men, it was associated with a 6.6% increase. Similarly, among participants with diabetes at baseline, cocoa supplementation reduced IL-6 by 13.7% per year, with no effect observed in those without diabetes.


The reduction in hsCRP seen with cocoa extract supplementation is particularly meaningful, since it aligns with prior meta-analyses showing that such decreases could correspond to a 7–23% lower cardiovascular disease risk. This dovetails nicely with the main COSMOS trial, which found a 27% reduction in cardiovascular death among those taking cocoa extract.[1] The increase in IFN-γ, while intriguing, remains an open question. It may point to subtle shifts in immune balance with longer-term cocoa intake, but its clinical implications remain to be determined.


Cocoa extract isn’t a magic bullet, but it appears to slow down inflammaging in a meaningful way. As other studies from COSMOS have shown, this may translate into some meaningful improvements in a wide array of other health outcomes.

­

In Aliquot episode #64, I discuss the health benefits of chocolate consumption and some of the potential risks to be aware of + when to potentially limit your consumption.


  • Chocolates with highest flavonoid content

  • Saturated fats in chocolate

  • Safety concerns about cadmium

  • Supplementing with cocoa extract

  • Heart, brain, and skin health benefits of eating chocolate

  • Safety of consuming chocolate during pregnancy or breastfeeding

What COSMOS Tells Us About Cocoa Flavanols

The COSMOS trial is the largest and most comprehensive test to date of cocoa extract supplementation in older adults, and over the past few years it has produced a steady stream of publications across cardiovascular, cognitive, metabolic, inflammatory, and even eye health outcomes. Together, they paint a somewhat nuanced picture. Cocoa flavanols are not a cure-all, but they do seem to exert specific, measurable effects that may matter for long-term health.


Cardiovascular outcomes

In the main COSMOS trial (investigating the primary outcome of cardiovascular end points) including more than 21,000 older adults (average age 72) and lasting for about 3.6 years, cocoa didn’t significantly reduce the total number of cardiovascular events, though the trend leaned toward benefit (a non-significant 10% lower incidence). Where it did stand out was cardiovascular mortality: the cocoa group had a 27% lower risk of dying from cardiovascular disease. All-cause mortality wasn’t different, but in adherent participants cocoa was also linked to a modest 15% reduction in total cardiovascular events. These results hint that flavanols may help with the deadliest outcomes, even if they don’t prevent every heart attack or stroke.[2]

Cognitive function and dementia

The COSMOS-Mind study looked at more than 2,200 participants who completed annual telephone-based cognitive tests over 3 years. Cocoa extract had no effect on global cognition, memory, or executive function.[3] A smaller in-person substudy (COSMOS-Clinic, 573 participants) confirmed this. After 2 years, declines in global and domain-specific cognition were essentially the same in the cocoa and placebo groups.[4] There was a weak signal that cocoa might help those with poor baseline diet quality. Tracking new cases of mild cognitive impairment and dementia gave the same story. Cocoa did not prevent cognitive decline. Interestingly, the multivitamin tested in the same trial did improve cognition modestly, but cocoa flavanols showed no measurable protective effect in these older adults.[5] 


Diabetes and blood pressure

Among more than 18,000 participants free of diabetes at baseline, cocoa extract supplementation did not reduce the risk of type 2 diabetes after 3.5 years.[6] Similarly, in nearly 9,000 participants without hypertension, cocoa had no overall effect on blood pressure. But there was some indication that, in people who started the trial with normal systolic blood pressure (<120 mmHg), cocoa reduced the risk of developing hypertension by about 24%. No benefit was seen in those already edging toward high blood pressure though. This suggests cocoa might help preserve healthy blood pressure rather than reverse it once elevated.[7]


Atrial fibrillation (Afib)

An ancillary cardiovascular analysis revealed that cocoa supplementation was associated with a 25% lower risk of Afib over about 5 years. This reduction was consistent across subgroups, suggesting cocoa flavanols may influence heart rhythm by improving vascular function, reducing inflammation, or altering atrial remodeling. It’s one of the first nutritional interventions to show a potential effect on Afib incidence.[8] 


Eye health

In the trial’s 21,000 participants, over a period of 3.6 years, cocoa did not significantly reduce the risk of age-related macular degeneration. There was a hint of benefit in the first 2 years (up to a 23% lower risk), but this disappeared later, and by the end of the trial there was no sustained effect on the incidence or progression of macular degeneration.[9]


Put together, COSMOS shows that cocoa flavanols may reduce cardiovascular mortality, lower systemic inflammation, protect against atrial fibrillation, and help maintain normal blood pressure, but don’t improve cognition, don’t prevent diabetes, and don’t halt eye disease. These effects are subtle, but they suggest cocoa flavanols act on cardiovascular and inflammatory pathways that matter for healthy aging.

Biological Properties and Antimicrobial Potential of Cocoa and Its Effects on Systemic and Oral Health. Fideles et al. Nutrients (2023). doi: 10.3390/nu15183927.

Final thoughts

If you're a long-time or recent listener, you've likely heard me talk about my personal experience with cocoa supplementation. My go-to choice is CocoaVia (no affiliation)—a cocoa flavanol supplement that contains high concentrations of EGCG. Studies show that it increases blood flow and improves muscle function (just a few of the reasons I take it). 


Because it also contains caffeine, I typically supplement with it in the morning—sometimes as a "coffee substitute," finding that it improves my attention and focus similar to a strong cup of coffee (for more on my personal use of CocoaVia and some of the studies showing its benefits, check out member Q&A #11).


Cocoa is one of those supplements that, while not earth-shattering in terms of its overall effects, seems worthwhile due to its low-risk profile. The fact is that you can also obtain flavanols through several dietary sources. Here are the top ones—I make sure to include several of these in my diet every day, especially green tea and blueberries, aiming to hit a total intake of 400–600 mg through combining sources and using a cacao supplement.


  • Tea (green or black) - 275–320 mg per 8-ounce cup

  • Blackberries - 65 mg per cup

  • Dark chocolate (70–85% cacao solids) - 20 mg per 18 grams of chocolate (about 3 squares)

  • Red wine - 15 mg per 5-ounce glass

  • Apples - 15 mg in one small apple

  • Cocoa powder - 13 mg in one tablespoon

  • Blueberries, strawberries, raspberries, and grapes - 5–10 mg per cup

Warm regards

 

— Rhonda and the FoundMyFitness team

­

Get the next issue in your inbox.

Free weekly health, longevity, and performance insights from Dr. Rhonda Patrick.

STAY IN THE LOOP

Get Dr. Rhonda Patrick's free weekly newsletter.

Every week, Dr. Rhonda Patrick and the FoundMyFitness team distill the latest research into clear, actionable insights on health, longevity, and performance, delivered free to your inbox.

Verifying email address...
Invalid email address. Please use a different email.